Magnetic Fields - 152
BlackBoard Notes
- (Note to Jeff: Hang up 6 copies of magnet warning poster - 2 outside lab door, one on blackboard in section 1, 3 on back wall of lab)
======================= Photo - Click for a Larger Version =============================

======================== First Board Section =============================
- Observe the B field around permanent magnets, and current-carrying
wires and coils.
- Don't remove compasses from the apparatus!
- (Place magnetic field warning sign in this section; use four small magnets, found in upper corner of blackboard)
======================= Second Board Section =============================
- The Compass: Which end points in the direction of B?
- Do Not stick bar magnets to the horseshoe magnet!
======================= Third Board Section =============================
- Bar magnet: Check polarity at ends of magnet
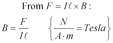
- Straight wire: What does B look like?
- Note to Jeff: Don't draw the B field!

======================= Fourth Board Section =============================
- Wire coil (or a solenoid):
- Note to Jeff: Omit B. Make sure direction of I in figure below matches the actual connection!

Return to Setup
| Revised:
08 Jul 25
|
Canton, NY 13617
|